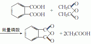
Phthalic anhydride Phthalic anhydride

Structural formula Business number 01VT Molecular formula C8H4O3 Molecular weight 148.12 label 1,3-isobenzofurandione, Epoxy resin hardener, pesticides, Rubber processing aids, photosensitive material…

Contact Us

Contact us

+86 - 152 2121 6908

Online consultation: QQ交谈

E-mail: sales@newtopchem.com

Working hours: Monday to Friday, 9:00-17:30, closed on holidays
Follow wechat
Scan wechat and follow us

Scan wechat and follow us

Back to top
Home
E-mail
Products
Search