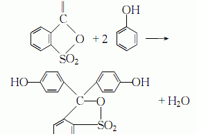
Phenol red

Structural formula Business number 03W9 Molecular formula C19H14O5S Molecular weight 354.38 label 3,3-bis(p-hydroxyphenyl)-3H-2,1-benzoxathiolane-1,1-dioxide, Phenolsulfonphthalein, Phenolsulfonyl pht…

Contact Us

Contact us

+86 - 152 2121 6908

Online consultation: QQ交谈

E-mail: sales@newtopchem.com

Working hours: Monday to Friday, 9:00-17:30, closed on holidays
Follow wechat
Scan wechat and follow us

Scan wechat and follow us

Back to top
Home
E-mail
Products
Search