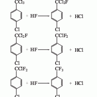
p-Chlorotrifluorotoluene 1-Chloro-4-(trifluoromethyl)benzene
Structural formula Business number 02E4 Molecular formula C7H4ClF3 Molecular weight 180 label p-chlorotrifluorobenzyl, 4-Chlorotrifluorotoluene, 1-Chloro-4-(trifluoromethyl)benzene, p-Chlorotrifluorom…

