Preparation method of N1,N1,N4,N4-tetrakis(pyridin-4-yl)benzene-1,4-diamine_Kain Industrial Additive
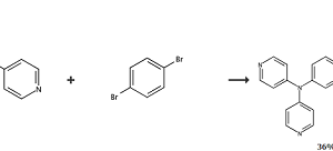
Background and overview[1] N1,N1,N4,N4-tetrakis(pyridin-4-yl)benzene-1,4-diamine is an organic intermediate that can be synthesized from 4,4′-bipyridylamine and 1,4-dibromo Benzene is prepared i…
Preparation method of N1,N1,N4,N4-tetrakis(pyridin-4-yl)benzene-1,4-diamine_Kain Industrial Additive
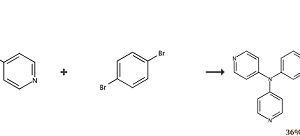
Background and overview[1] N1,N1,N4,N4-tetrakis(pyridin-4-yl)benzene-1,4-diamine is an organic intermediate that can be synthesized from 4,4′-bipyridylamine and 1,4-dibromo Benzene is prepared i…

