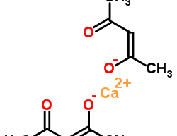
Calcium acetylacetonate

MT01485 Calcium acetylacetonate 19372-44-2

English name: Calcium acetylacetonate Common aliases: Calcium 2,4-pentanedione | Calcium bis(2,4-pentanedione)(II) | Calcium acetylacetonate(II) | Calcium acetylacetonate hydrate CAS number: 19372-44-…

Contact Us

Contact us

+86 - 152 2121 6908

Online consultation: QQ交谈

E-mail: sales@newtopchem.com

Working hours: Monday to Friday, 9:00-17:30, closed on holidays
Follow wechat
Scan wechat and follow us

Scan wechat and follow us

Back to top
Home
E-mail
Products
Search