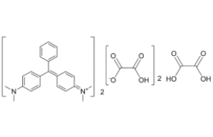
Malachite Green

MT01031 malachite green 2437-29-8

English name: Basic Green 4 Common aliases: Malachite green oxalate BS; malachite green; malachite green oxalate; alkaline green 4 CAS number: 2437-29-8 Boiling point: N/A MDL number: Melting point: 1…

Contact Us

Contact us

+86 - 152 2121 6908

Online consultation: QQ交谈

E-mail: sales@newtopchem.com

Working hours: Monday to Friday, 9:00-17:30, closed on holidays
Follow wechat
Scan wechat and follow us

Scan wechat and follow us

Back to top
Home
E-mail
Products
Search