Kain Chemical: Synthesis method of ion exchange resin
The synthesis of strong acid cation exchange resin is briefly introduced into two types: polymerization type and condensation type. ①Polymerization type: This method uses styrene and diethyl benzene t…
Kain Chemical: Synthesis method of ion exchange resin
The synthesis of strong acid cation exchange resin is briefly introduced into two types: polymerization type and condensation type. ①Polymerization type: This method uses styrene and diethyl benzene t…
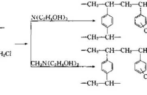
Kain Chemical: Synthesis method of ion exchange resin
The synthesis of strong acid cation exchange resin is briefly introduced into two types: polymerization type and condensation type. ①Polymerization type: This method uses styrene and diethyl benzene t…

