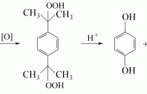
Hydroquinone Hydroquinone

Structural formula Business number 03GG Molecular formula C6H6O2 Molecular weight 110.11 label 1,4-dihydroxybenzene, gallinol, guineas, hydroquinone, p-hydroxyphenol, 1,4-Benzodiphenol, Haider, 1,4-Di…

Contact Us

Contact us

+86 - 152 2121 6908

Online consultation: QQ交谈

E-mail: sales@newtopchem.com

Working hours: Monday to Friday, 9:00-17:30, closed on holidays
Follow wechat
Scan wechat and follow us

Scan wechat and follow us

Back to top
Home
E-mail
Products
Search