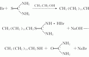
Dodecanethiol 1-Dodecanethiol

Structural formula Business number 0362 Molecular formula C12H26S Molecular weight 202.40 label 1-dodecanethiol, dodecanethiol, Dodecanethiol, n-dodecanethiol, dodecyl mercaptan, Dodecyl Mercaptan, La…

Contact Us

Contact us

+86 - 152 2121 6908

Online consultation: QQ交谈

E-mail: sales@newtopchem.com

Working hours: Monday to Friday, 9:00-17:30, closed on holidays
Follow wechat
Scan wechat and follow us

Scan wechat and follow us

Back to top
Home
E-mail
Products
Search