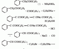
Diethyl phenylethylmalonate Diethyl ethylphenylmalonate
Structural formula Business number 01LB Molecular formula C15H20O4 Molecular weight 264.32 label phenethyl ester, Diethyl 2-phenyl-2-ethylmalonate, Ethylphenyl-propanedioic acid diethylester, Phenylet…

