bromocresol purple

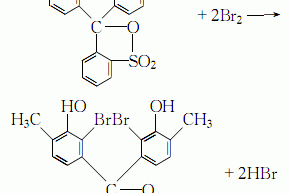
Structural formula Business number 037Z Molecular formula C21H16Br2O5S Molecular weight 540.22 label Dibromo-o-cresolsulfonphthalein, Dibromo-o-cresolsulfonyl phthalide, Dibromo-o-cresolsulfonphthalid…

Contact Us

Contact us

+86 - 152 2121 6908

Online consultation: QQ交谈

E-mail: sales@newtopchem.com

Working hours: Monday to Friday, 9:00-17:30, closed on holidays
Follow wechat
Scan wechat and follow us

Scan wechat and follow us

Back to top
Home
E-mail
Products
Search