Application of carbofuran propylthio_Kain Industrial Additives
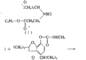
Background and overview[1][2] Benfuracarb is also called benfuracarb. Molecular formula C20H30N2O5S, chemical name N-[2,3-dihydro-2,2-dimethylbenzene Furan-7-yloxycarbonyl(methyl)aminothio]-N-isopropy…

