Application of 5,6-dihydro-3-(4-morpholinyl)-1-[4-(2-oxo-1-piperidinyl)phenyl]-2(1H)-pyridone_Kain Industrial additives
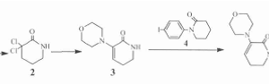
Background [1] 5,6-Dihydro-3-(4-morpholinyl)-1-[4-(2-oxo-1-piperidinyl)phenyl]-2(1H)-pyridone was prepared Intermediates of apixaban. Apixaban (1), chemical name is 1-(4-methoxyphenyl)-7-oxo-6-[4-(2-o…

