N-[6-(2,5-dihydro-2,5-dioxo-1H-pyrrol-1-yl)-1-oxohexyl]-L-valyl-N5-(carbamoyl) Preparation of -N-[4-(hydroxymethyl)phenyl]-L-ornithine amide_Kain Industrial Additive
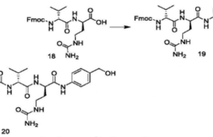
Background and overview[1] N-[6-(2,5-dihydro-2,5-dioxo-1H-pyrrol-1-yl)-1-oxohexyl]-L-valyl-N5-(amino Formyl)-N-[4-(hydroxymethyl)phenyl]-L-ornithine amide can be used to prepare antibody-drug conjugat…
N-[6-(2,5-dihydro-2,5-dioxo-1H-pyrrol-1-yl)-1-oxohexyl]-L-valyl-N5-(carbamoyl) Preparation of -N-[4-(hydroxymethyl)phenyl]-L-ornithine amide_Kain Industrial Additive
Background and overview[1] N-[6-(2,5-dihydro-2,5-dioxo-1H-pyrrol-1-yl)-1-oxohexyl]-L-valyl-N5-(amino Formyl)-N-[4-(hydroxymethyl)phenyl]-L-ornithine amide can be used to prepare antibody-drug conjugat…

