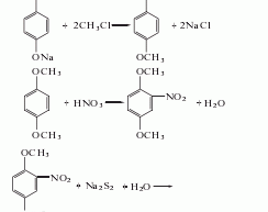
2,5-Dimethoxyaniline 2,5-Dimethoxyaniline

Structural formula Business number 02M9 Molecular formula C8H11NO2 Molecular weight 153 label Aminohydroquinone dimethyl ether, 2-amino-1,4-dimethoxybenzene, o-Aminoterephthalene, Aminohydroquinone di…

Contact Us

Contact us

+86 - 152 2121 6908

Online consultation: QQ交谈

E-mail: sales@newtopchem.com

Working hours: Monday to Friday, 9:00-17:30, closed on holidays
Follow wechat
Scan wechat and follow us

Scan wechat and follow us

Back to top
Home
E-mail
Products
Search