Preparation of 2-(2-methoxy-4-niphenyl)-3-(4-niphenyl)-5-(2,4-disulfobenzene)-2H-tetrazole monosodium salt_Kay Yin industrial additives

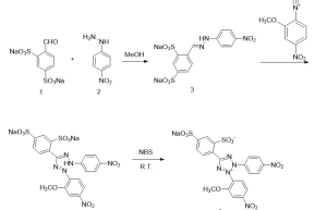
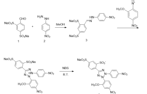
Background and overview[1] 2-(2-Methoxy-4-niphenyl)-3-(4-niphenyl)-5-(2,4-disulfobenzene)-2H-tetrazole monosodium salt, WST-8, referred to as WST-8, is a main component in the cell activity detection …

Preparation of 2-(2-methoxy-4-niphenyl)-3-(4-niphenyl)-5-(2,4-disulfobenzene)-2H-tetrazole monosodium salt_Kay Yin industrial additives

Background and overview[1] 2-(2-Methoxy-4-niphenyl)-3-(4-niphenyl)-5-(2,4-disulfobenzene)-2H-tetrazole monosodium salt, WST-8, referred to as WST-8, is a main component in the cell activity detection …

Contact Us

Contact us

+86 - 152 2121 6908

Online consultation: QQ交谈

E-mail: sales@newtopchem.com

Working hours: Monday to Friday, 9:00-17:30, closed on holidays
Follow wechat
Scan wechat and follow us

Scan wechat and follow us

Back to top
Home
E-mail
Products
Search