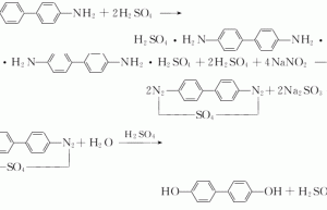
4,4′-dihydroxybiphenyl
Structural formula Business number 025E Molecular formula C12H10O2 Molecular weight 186.21 label (1,1′-biphenyl)-4,4′-diol, 4,4′-Diphenol, 4,4′-biphenyldiol, biphenyl, 4,4̸…
4,4′-Dihydroxybiphenyl 4,4′-Dihydroxybiphenyl
Structural formula Business number 025E Molecular formula C12H10O2 Molecular weight 186.21 label (1,1′-biphenyl)-4,4′-diol, 4,4′-Diphenol, 4,4′-biphenyldiol, biphenyl, 4,4̸…

