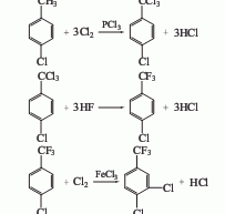
3,4-Dichloro-1-trifluoromethylbenzene

Structural formula Business number 048D Molecular formula Cl2C7H4F3 Molecular weight 215 label 3,4-Dichlorotrifluorotoluene, 3,4-Dichlorotrifluoromethylbenzene, 4-(Trifluoromethyl)-1,2-dichlorobenzene…

Contact Us

Contact us

+86 - 152 2121 6908

Online consultation: QQ交谈

E-mail: sales@newtopchem.com

Working hours: Monday to Friday, 9:00-17:30, closed on holidays
Follow wechat
Scan wechat and follow us

Scan wechat and follow us

Back to top
Home
E-mail
Products
Search