4-Aminoantipyrine 4-Aminoantipyrine

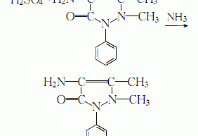
Structural formula Business number 01TB Molecular formula C11H13N3O Molecular weight 203.24 label 1,5-dimethyl-2-phenyl-4-amino-3-pyrazolone, 4-Amino-1,2-dihydro-1,5-dimethyl-2-phenyl-3H-pyrazol-3-one…

Contact Us

Contact us

+86 - 152 2121 6908

Online consultation: QQ交谈

E-mail: sales@newtopchem.com

Working hours: Monday to Friday, 9:00-17:30, closed on holidays
Follow wechat
Scan wechat and follow us

Scan wechat and follow us

Back to top
Home
E-mail
Products
Search