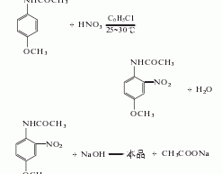
4-Amino-3-nitroanisole 4-Amino-3-nitroanisole

Structural formula Business number 02BN Molecular formula C7H8N2O3 Molecular weight 168.15 label 2-nitro-4-methoxyaniline, 2-Nitro-4-methoxyaniline, 4-Methoxy-2-nitroaniline, Aromatic nitrogen-contain…

Contact Us

Contact us

+86 - 152 2121 6908

Online consultation: QQ交谈

E-mail: sales@newtopchem.com

Working hours: Monday to Friday, 9:00-17:30, closed on holidays
Follow wechat
Scan wechat and follow us

Scan wechat and follow us

Back to top
Home
E-mail
Products
Search