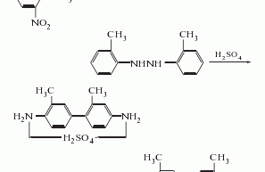
3,3′-Dimethylbenzidine

Structural formula Business number 03BH Molecular formula C14H16N12 Molecular weight 212.29 label o-Toluidine, o-Toluidine; diaminodimethylbiphenyl, o-Tolidine, 4-4’Diamino-3-3′-dimethylbi…

Contact Us

Contact us

+86 - 152 2121 6908

Online consultation: QQ交谈

E-mail: sales@newtopchem.com

Working hours: Monday to Friday, 9:00-17:30, closed on holidays
Follow wechat
Scan wechat and follow us

Scan wechat and follow us

Back to top
Home
E-mail
Products
Search