(2S-cis)-(+)-2,3-dihydro-3-hydroxy-2-(4-methoxyphenyl)-1,5-benzothiazepine-4(5H)-one Preparation_Kain Industrial Additives
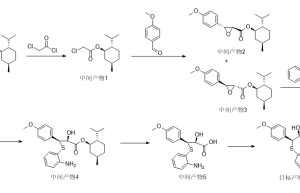
Background and overview[1] (2S-cis)-(+)-2,3-dihydro-3-hydroxy-2-(4-methoxyphenyl)-1,5-benzothiazepine-4(5H) -Ketone is a key intermediate in the synthesis of diltiazem. The current route to synthesize…
(2S-cis)-(+)-2,3-dihydro-3-hydroxy-2-(4-methoxyphenyl)-1,5-benzothiazepine-4(5H)-one Preparation_Kain Industrial Additives
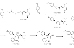
Background and overview[1] (2S-cis)-(+)-2,3-dihydro-3-hydroxy-2-(4-methoxyphenyl)-1,5-benzothiazepine-4(5H) -Ketone is a key intermediate in the synthesis of diltiazem. The current route to synthesize…

