1,2-Dimethoxyethane 1,2-Dimethoxyethane
Structural formula Business number 031W Molecular formula C4H10O2 Molecular weight 90.12 label Ethylene glycol dimethyl ether, 1,2-Dimethoxyethane, 1,2-dimethoxyhexane, 1,2-Dimethylethane, Ethylene gl…
1,4-Butanediol 1,4-Butanediol
Structural formula Business number 031N Molecular formula C4H10O2 Molecular weight 90.12 label butylene glycol, 1,4-Dihydroxybutane, Butylene glycol, 1,4-Dihydroxybutane, 1,4-Butylene glycol, Tetrasme…
1,4-Diaminobutane 1,4-Diaminobutane
Structural formula Business number 031K Molecular formula C4H12N2 Molecular weight 88.15 label tetramethylenediamine, 1,4-Butanediamine, 1,4-Butylendiamine, TetramethylenediaminePutrescine, Putrecine,…
1,8-Naphthalene dicarboxylic anhydride 1,8-Naphthalene dicarboxylic anhydride
Structural formula Business number 01SG Molecular formula C12H6O3 Molecular weight 198 label Naphthalene-1,8-dicarboxylic anhydride, Naphtho[1,8,8a-c,d]pyran-1,3-dione, Pesticide intermediates; aromat…
1,4-Dichlorobutane 1,4-Dichlorobutane
Structural formula Business number 031F Molecular formula C4H8Cl2 Molecular weight 127.01 label Tetramethylene dichloride, tetramethylene chloride, Tetramethylene dichloride, 1,4-Butylene dichloride, …
1,4-Dibromobutane 1,4-Dibromobutane
Structural formula Business number 031C Molecular formula C4H8Br2 Molecular weight 215.93 label Butylene dibromide, Tetramethyl bromide, propylene bromide, Tetramethylenyl dibromide, Tetramethylene di…
1,8-Naphthalimide 1,8-Naphthalimide
Structural formula Business number 01SF Molecular formula C12H7NO2 Molecular weight 197.19 label None yet Numbering system Physical property data Toxicological data Ecological data Molecular structure…
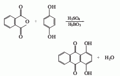
1,4-Dihydroxyanthraquinone 1,4-Dihydroxyanthraquinone
Structural formula Business number 01SC Molecular formula C14H8O4 Molecular weight 240.21 label Quezain, quinone, Aromatic aldehydes, ketones and their derivatives Numbering system Physical property d…
1,2-Cyclohexanedicarboxylic anhydride
Structural formula Business number 01VR Molecular formula C8H10O3 Molecular weight 154.16 label Hexahydrophthalic anhydride, Hexahydrophthalic anhydride, Cyclohexane-1,2-dicarboxylic anhydride, Hexahy…
1,8-Dihydroxy-4,5-dinitro-9,10-anthraquinone 1,8-Dihydroxy-4,5-dinitro-9,10-anthraquinone
Structural formula Business number 01S9 Molecular formula C14H6N2O8 Molecular weight 330.21 label None yet Numbering system Physical property data Toxicological data Ecological data Molecular structur…

