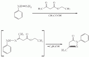
1-phenyl-3-methyl-5-pyrazolone

Structural formula Business number 020J Molecular formula C10H10N2O Molecular weight 174.20 label 3-Methyl-1-phenyl-2-pyrazolin-5-one, 2,4-Dihydro-5-methyl-2-phenyl-3H-pyrazol-3-one, Edaravone, 1-Phen…

Contact Us

Contact us

+86 - 152 2121 6908

Online consultation: QQ交谈

E-mail: sales@newtopchem.com

Working hours: Monday to Friday, 9:00-17:30, closed on holidays
Follow wechat
Scan wechat and follow us

Scan wechat and follow us

Back to top
Home
E-mail
Products
Search