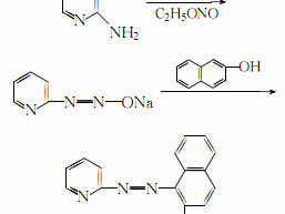
1-(2-pyridinylazo)-2-naphthol 1-(2-pyridinylazo)-2-Naohthalenol
Structural formula Business number 01WB Molecular formula C15H11N3O Molecular weight 249.27 label α-pyridylazo-β-naphthol;, α-Pyridylazo-β-napnthol, PAN, o-PAN, metal indicator Numbering system Physic…

