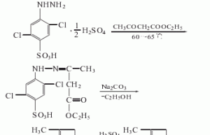
1-(2′,5′-Dichloro-4′-sulfophenyl)-3-methyl-5-pyrazolone1-(2′,5′-Dichloro-4′-sulfophenyl) -3-methyl-5-pyrazolone
Structural formula Business number 01US Molecular formula C10H6Cl2N2O4S Molecular weight 323.15 label 1-(2,5-Dichloro-4-phenylsulfonate)-3-methyl-5-pyrazolone, 1-(2,5-Dichloro-4-sulfophenyl)-3-methyl-…

